分子生物与细胞免疫中心

中心介绍

分子生物及细胞免疫中心实验室面积近2500平方米,以科学布局构建全链条技术服务体系。设有18套专业化细胞实验室(含2套P2级生物安全细胞实验室)、三级细胞库、基因工程实验室、免疫与蛋白功能检测室,为规模化、高精度临床前药效分析提供坚实场地支撑。中心遵循GLP规范及国内外药政法规,保障实验数据符合申报要求。已为多家药企及研发机构提供细胞毒性检测、免疫活性验证等定制化服务,并支撑客户完成临床前毒理研究及申报资料撰写。

配置二激光/四激光分析型流式细胞仪、超敏多因子电化学发光分析仪、酶联免疫斑点分析仪、实时荧光定量PCR仪、染色体核型分析系统等,搭配齐全的高速离心机、超低温冰箱、荧光显微镜等辅助设备,可覆盖细胞模型构建、靶点机制研究、免疫功能检测、基因表达分析、药物活性筛选及化妆品功效等临床前药效评价。

未来,技术中心将持续升级技术服务能力,强化前沿创新引领,以更全面的服务、更严格的质控,为全球客户提供高质量临床前体外药效分析解决方案。

亲和力检测(ELISA法)

亲和力检测(流式法)

抗体内化检测

药效指标—细胞活力

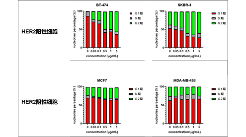
药效指标—细胞周期检测

旁观者效应